Forme trigonométrique
Définition :
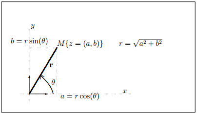
Le module de \(z\), noté \(|z|\), est défini comme la norme du vecteur \(\overset{→}{OM} \). Or les coordonnées de ce vecteur sont \((ab)\) , donc :
\[\boxed{ |z| = \sqrt{a^2+b^2} }\]
Définition :
L' argument de z est la mesure (en radians) de l'angle entre l'axe des \(x\) et \(\overset{→}{OM}\) . Cet angle est définit à \(2k\pi\) près . Pour \(z=0\), l'argument n'est pas défini. Sinon, on utilisera, toujours avec les notations de la figure 1-5.3 :
\[\boxed{ arg(z) = arctan(\tfrac{b}{a}) }\]

Remarque :
Tout nombre complexe non nul \(z\) de module \(r\) et d'argument θ peut donc s'écrire sous la forme
\[\boxed{z = r(\cos{(\theta)}+ i \sin{(\theta)})}\]