Exercice 9a - Variables aléatoires
Soit une fonction F définie par
\(F : x \rightarrow F (x) = \frac{e^x}{e^x-e^{-x}},\forall x\in\mathbb R\)
Question
1. Montrer que la fonction \(F\) est la fonction de répartition d'une variable aléatoire réelle \(X\).
Solution
Pour montrer que \(F\) est une fonction de répartition, il faut montrer que \(F\) vérifie les différentes propriétés suivantes :
a) \(F\) croissante sur\( \mathbb R\) : D'après les théorèmes généraux, on sait que \(F\) est dérivable sur \(\mathbb R\). Calculons la dérivée de la fonction \(F\) et vérifions que cette dérivée est positive :
\(F (x) = \frac {e^x (e^x + e^{−x} ) − e^x (e^x − e^{−x} )}{(e^x + e^{−x} )^2}\)
Donc :
\(F (x) = \frac {2}{(e^x + e^{−x} )^2}\)
\(F\) est bien strictement positive. Donc \(F\) est croissante sur \(\mathbb R\).
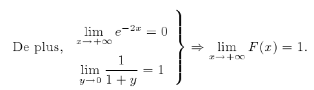
b) : or, .
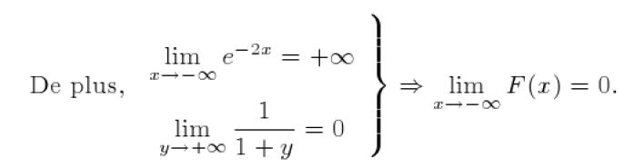
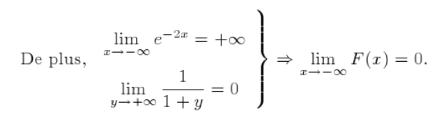
c) : or, .

d) \(F\) est continue sur \(\mathbb R\) et de classe \(C^1\) sur \(\mathbb R\) : \(F\) est continue car \(e^x\) est continue, \(\frac {x}{x+\frac{1}{x}}\) est continue sur \(\mathbb R^{\ast}\) et \(e^x\neq0\).
De plus, on a vu que : \(F (x) =\frac{2}{(e^x + e^{−x} )^2}\)
Pour les mêmes raisons que \(F\) , à savoir la continuité de la fonction exponentielle, \(F\) est aussi continue sur \(\mathbb R\).
Toutes les propriétés sont vérifiées, \(F\) est bien une fonction de répartition.
Question
2. Déterminer alors la densité de \(X\).
Solution
On sait, d'après le cours, que lorsqu'on possède la fonction de répartition, on peut calculer la densité par :
\(f_X (x) = \frac {dF_X(x)}{dx}= F (x)\)
\(f_X (x) = \frac {2}{(e^x + e^{−x} )^2}\)
Question
3. Calculer l'espérance de \(X\) et montrer que
\(V (X) = 4\int^{+\infty}_0 \frac{te^{-t}}{e^t+e^{-t}}dt\) .
Solution
On sait que :
\(E(X)=\int_{\mathbb R}xf_X(x)dx\)
Donc :
\(E(X)=\int_{\mathbb R}\frac {2x}{(e^x + e^{−x} )^2}dx\)
On sait aussi que :
\(\forall f\) fonction impaire, \(\int^{+A}_{-A}f(x)dx=0\)
\(\forall f\) fonction paire, \(\int^{+A}_{-A}f(x)dx=2 \int^{+A}_0f(x)dx\)
Ici, la fonction \(\frac {2x}{(e^x + e^{−x} )^2}\) est impaire et son intégrale sur \(\mathbb R\) est convergente, donc elle vaut 0.
Donc \(E(X) = 0\).
Pour la variance d'une v.a.r. centrée, on a par définition :
\(V (X) =\int_{\mathbb R} x^2f_X(x)dx=\int_{\mathbb R}\frac{2x^2}{(e^x + e^{−x} )^2}dx\)
donc
\(V (X) = 2 \int^{+\infty}_0 \frac{2x^2}{(e^x + e^{−x} )^2} dx\)
On fait alors une intégration par parties.
\(V (X) = 2 [x^2 (F (x) − 1)]^{+\infty}_0-2\int^{+\infty}_02x(\frac{e^x}{e^x+e^{-x}}-1)dx\)
Donc :
\(V (X) = 4 \int^{+\infty}_0 \frac {te^{-t}}{e^t+e^{-t}}dt\)
