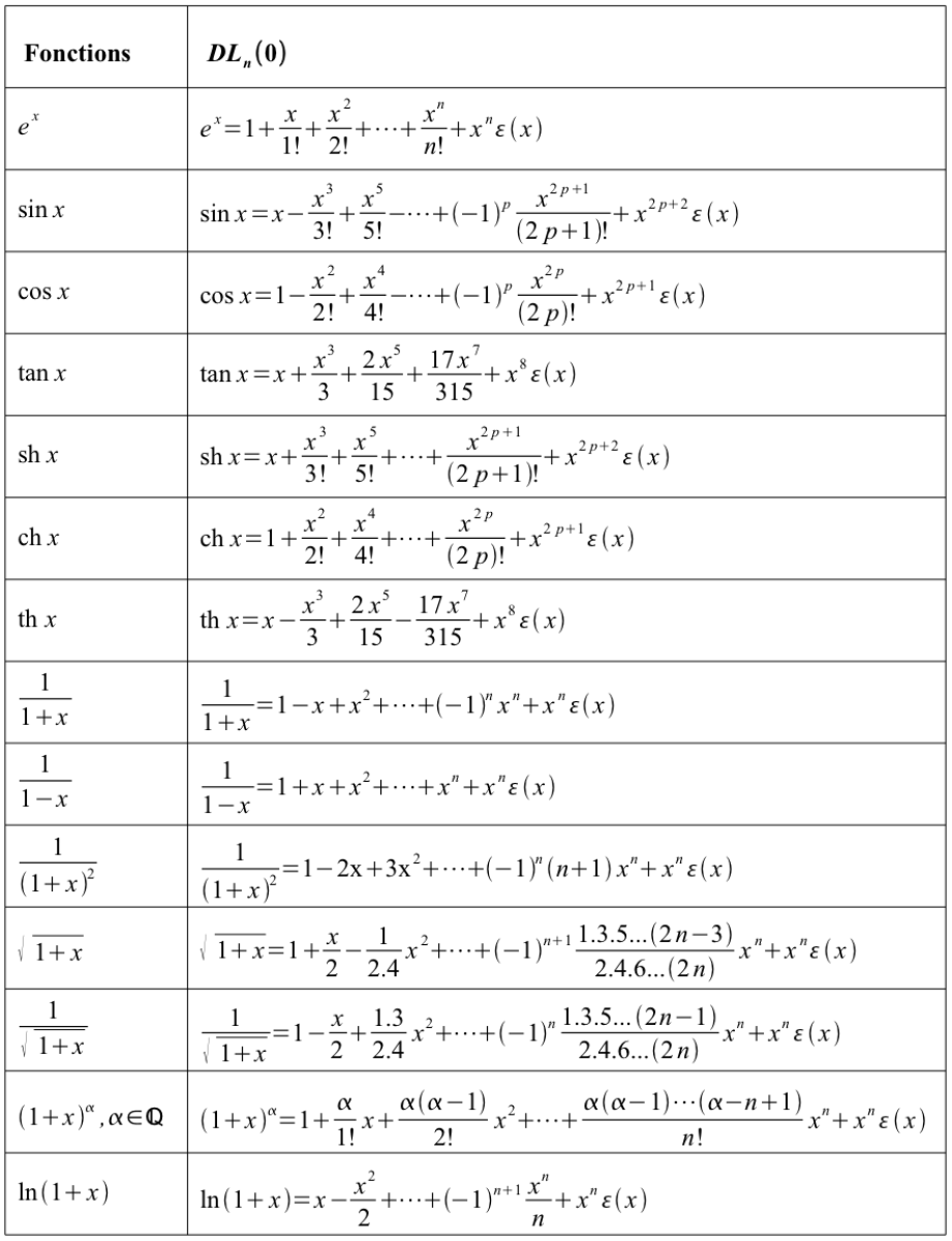
Introduction

D'une manière générale, les développements limités permettent d'avoir une approximation "locale" d'une fonction autour d'un point. Quelques cas classiques d'utilisation des développements et de leur extension sont présentés ci-après.