2- Instabilité de Rayleigh-Bénard
Fondamental : Polycopié et exercices du chapitre
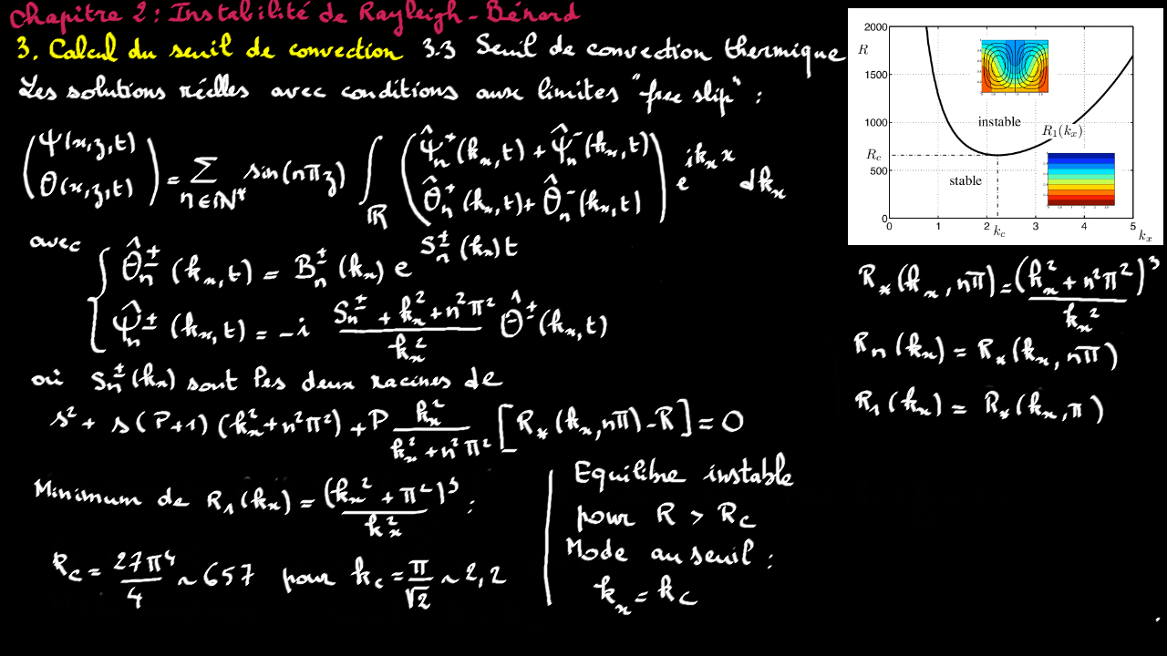
Le chapitre détaille les calculs permettant d'étudier l'instabilité de Rayleigh-Bénard, lorsque lorsque qu'une couche fluide est soumise à un gradient vertical de température qui dépasse un seuil critique.
Vidéos de classe virtuelle
Les vidéos ci-dessous, d'une durée d'environ 2 mn, peuvent être visionnées avant ou après le cours magistral ou s'y substituer. Les images des tableaux sans les vidéos sont disponibles en bas de cette page.








