1- Instabilité de Kelvin-Helmoltz
Fondamental : Polycopié et exercices du chapitre
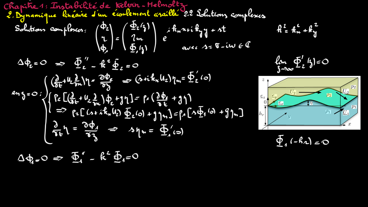
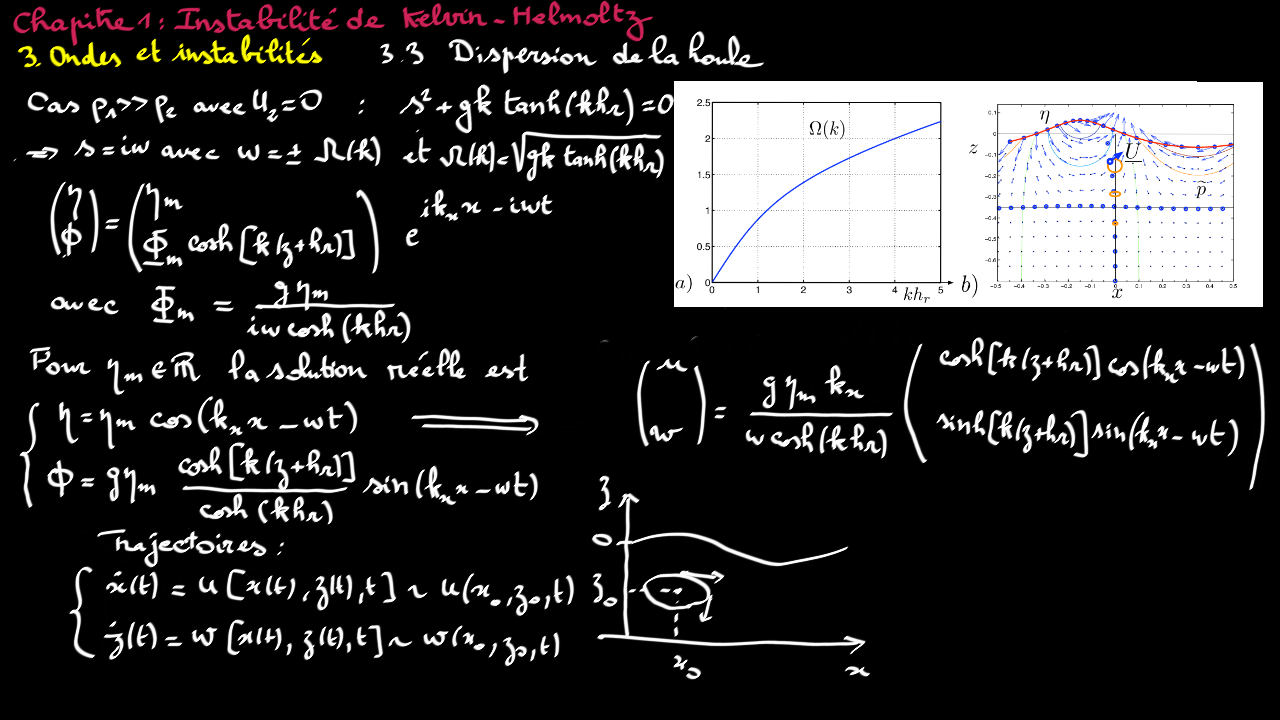
Le chapitre détaille les calculs permettant d'étudier l'instabilité de Kelvin-Helmoltz, lorsque le cisaillement de vitesses de deux couches fluides de densités différentes dépasse un seuil critique.
Vidéos de classe virtuelle
Les vidéos ci-dessous, d'une durée d'environ 2 mn, peuvent être visionnées avant ou après le cours magistral ou s'y substituer. Les images des tableaux sans les vidéos sont disponibles en bas de cette page.








