V.1 Le claquage de la jonction
Fondamental :
La caractéristique
d'une jonction PN présente :
une zone directe, caractérisée par un courant qui croit exponentiellement en fonction de la tension appliquée (sens passant).
une zone inverse caractérisée par un courant très faible indépendant de la tension appliquée (sens bloqué).
un claquage qui survient pour une tension inverse
.
Remarque :
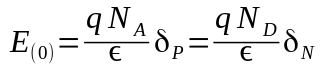
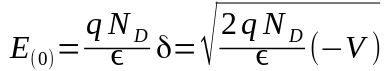
Or le champ électrique est maximum en
:
Remarque :
La tension
ne peut augmenter indéfiniment car il existe une valeur de champ électrique limite propre au matériau qui correspond au passage des électrons de valence en conduction:
correspond alors à l'énergie de la bande interdite, Eg.
Pour le silicium cette valeur vaut
.
La valeur de la tension qui en résulte dépend de la largeur de la zce et donc du dopage le plus faible.
Attention :
Les paires électrons-trous créées par ionisation du silicium sont évacuées par le champ électrique et donnent lieu à un courant brutal et important.
Définition :
Le claquage de la jonction est alors dû à l'effet Zener.
On trouve
pour
.
Remarque :
Dans la pratique, l'effet Zener n'est observé que dans des jonctions fortement dopées pour lesquelles la zce est petite : lorsque la jonction est peu dopée, un autre phénomène apparaît qui fait claquer la jonction avant d'atteindre l'énergie correspondant à la largeur de la bande interdite :
L'effet d'avalanche
Lorsque le dopage est faible, la zce est grande. Les porteurs de charge en transit dans la zce sont alors fortement accélérés. Lorsque le champ électrique atteint
pour le silicium ; ils subissent des collisions avec le réseau et peuvent provoquer l'ionisation du matériau. Les porteurs libérés sont à leur tour accélérés et peuvent générer de nouvelles paires par chocs. La réaction en chaîne qui en résulte entraîne une multiplication importante des porteurs libres. C'est une ionisation par choc.
Fondamental : Conclusion
Le claquage survient pour une tension inverse
provoqué par :
un phénomène de Zener si (pour des jonctions en silicium)
.un phénomène d'avalanche si
.




