Loi de probabilité
\(X\) est une variable aléatoire qui associe à chaque événement d'une expérience aléatoire les réels \(x_1 , x_2 , ... , x_n\) avec les probabilités \(p_1 , p_2 , ..., p_n\).
L'affectation des \(p_i\) aux valeurs \(x_i\) pour \(i\) variant de 1 à \(n\) permet de définir la loi de probabilité de la variable aléatoire\( X\).
Exemple :
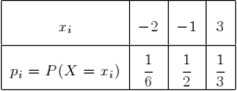
A partir de l'exemple précédent (2.1.1), voici la loi de probabilité de \(X\) :
