Fonction de répartition
Définition : 2.1.2
On appelle fonction de répartition de la variable aléatoire \(X\) la fonction numérique \(F\), définie pour tout réel \(x\) par : \(F(x)=P(X < x)=P(X^{−1}(]−\infty,x[))\)
Remarque :
\((X^{−1}(]−\infty, x[))\) est l'ensemble des éléments de \(\Omega\) dont l'image par \(X\) appartient à \(]−\infty, x[))\)
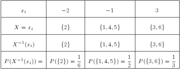
Exemple :
A partir de l'exemple précédent (2.1.1) : recherchons la fonction de répartition de la variable \(X\). On obtient :

La fonction de répartition est une fonction en escalier définie ainsi :
- Si \(x\leq-2\) alors
- Si \(x\in]-2 ;-1]\) alors
- Si \(x\in]-1 ;3]\) alors
- SI \(x>3\) alors
Propriété 2.1.2
Toute fonction de répartition \(F\) d'une variable aléatoire vérifie :
1.\( F\) est croissante sur \(\mathbb R\),
2. \(F\) est continue à gauche,
3. et
4. \(\forall(a, b)\in{\mathbb R}^2, P (a\leq X<b)=F(b)-F(a)\),
5. \(P(X=x)=F(x^+)-F(x)\), en particulier on obtient 0 aux points où \(F\) est continue.