IV.2 Modèle dynamique petit signal de la jonction PN
a) En polarisation directe
Fondamental :
On voit sur la figure que la diode est équivalente à une résistance de valeur
appelée résistance dynamique.
Pour la déterminer, on dérive l'équation d'état de la diode autour du point de fonctionnement :
.
Et on trouve, pour une diode franchement polarisée en direct :
Définition :

Remarque :
Ce modèle est valable à basse fréquence.
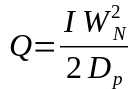
À haute fréquence, il faut prendre en compte les effets capacitifs dus aux porteurs minoritaires stockés dans les zones neutres :
On a vu que le courant qui circule dans une diode en direct est dû à la présence de porteurs minoritaires en excès qui diffusent
Si on intègre ces porteurs dans toute la zone neutre, on peut évaluer la charge correspondante
dans la zone neutre N :
Considérons une jonction de type P+N. On a alors
. De plus si la ZNN est courte alors :
On a
et
.
On en déduit :
Définition :
.
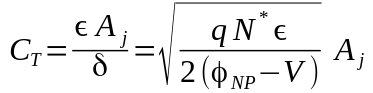
b) En polarisation inverse
Résistance dynamique tend vers l'infini
Pas de capacité de stockage dans les zones neutres car le courant est très faible.
Apparition d'une capacité
due à la largeur importante de la zce en polarisation inverse






