II.1 Calcul de la largeur de la zone de charge d'espace
Nous allons établir les équations permettant de calculer la largeur de la zone de charge d'espace et la différence de potentiel à ses bornes.
Équations du modèle défini à partir des hypothèses de Schokley
Pour définir les caractéristiques de la charge d'espace, nous allons utiliser des hypothèses connues sous le nom d'hypothèses de Schokley, qui s'énoncent sous la forme suivante :
La charge d'espace est limitée par des plans parallèles au plan de la jonction métallurgique.
La charge d'espace est dépourvue de porteurs libres
Le champ est nul en dehors de la charge d'espace (donc le potentiel est constant).
Nous allons, pour établir les équations permettant de déterminer la hauteur et la largeur de la charge d'espace, utiliser le modèle défini à partir des hypothèses de Schokley. Nous considèrerons en outre que le matériau est homogène dans le plan
et de ce fait, nous utiliserons un modèle unidimensionnel. La charge électrique qui existe dans la charge d'espace correspond donc à la représentation ci-dessous.
Entre la limite de charge d'espace côté N (
) et la position de la jonction métallurgique (
), on a une charge négative de valeur constante en fonction de la distance eu égard au dopage uniforme du matériau. Cette charge vaut : ![]()
De la même manière, coté P, entre la position de la jonction métallurgique et la limite de charge d'espace (
), la charge est constante et négative. Elle vaut : ![]()
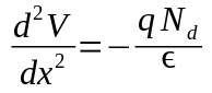
Lorsque, dans un matériau, il existe une charge, on peut lui associer un potentiel grâce à l'équation de Poisson. Cette dernière s'écrit :
Dans le cas d'un modèle unidimensionnel, le Laplacien se ramène à une simple dérivée seconde et la relation s'écrira donc :
Méthode :
On va donc résoudre cette équation successivement dans chacune des zones, puis on écrira les conditions de continuité du champ électrique et du potentiel à la traversée d'une surface. Ce calcul nous permettra non seulement d'établir la relation donnant la largeur de la charge d'espace, mais aussi mettra en évidence le fait que la charge d'espace est globalement neutre.
Pour
compris entre
et 0, la charge s'écrit :
.
L'équation de poisson devient dans cette zone : 
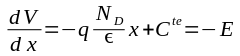
L'intégrale première donne, au signe près, le champ électrique :
soit 
La constante se détermine en écrivant que le champ électrique est nul à la limite de la charge d'espace, c'est-à dire pour
. Cela donne : 
Le champ électrique s'écrit donc :
soit
.
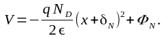
En intégrant une deuxième fois, on obtient : 
La détermination de la constante d'intégration se fera aussi en utilisant les conditions aux limites: Le champ étant nul à l'extérieur de la zce, le potentiel qui en est l'intégrale première est constant. On le posera égal à
dans la région N. Il s'en suit : 
En reportant dans l'expression du potentiel, on obtient : 
Le même calcul fait entre 0 et
donnera des équations similaires. Il suffit de changer
par
et
par
. On obtient, en posant que la tension dans la région P est égale à
:
Si l'on représente sur un graphique la densité de charges, le champ électrique et le potentiel, on obtient finalement:
Remarque :
La continuité du champ et du potentiel en 0 donne :
soit :
Fondamental :
Remarque :
Cette relation traduit la neutralité de la zce.
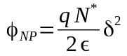
Dimension de la zone de charge d'espace
L'écriture de la continuité du potentiel en 0 donne :
soit
.
Pour simplifier l'écriture, on posera :
.
On obtient donc deux relations faisant intervenir
et
. Il est donc facile de résoudre le système afin de calculer δ qui est la somme de ces deux termes.
L'équation (1) donne :
soit :
et
.
Pour des simplifications d'écriture, on pose :
.
L'équation (2) s'écrit alors :
.
Fondamental :
Tous calculs faits, on obtient :
qui donne :
Il suffit donc de calculer la hauteur de la barrière de potentiel pour, connaissant les caractéristiques du matériau (dopages et constantes caractéristiques), obtenir la dimension de la charge d'espace.







