I.3 Rendement
Outre la longueur d'onde d'émission, un paramètre essentiel du fonctionnement d'une DEL est son rendement. On en définit plusieurs :
Rendement quantique interne
Les porteurs injectés dans chacune des régions se recombinent avec les porteurs majoritaires. Ces recombinaisons peuvent faire intervenir des processus radiatifs ou non :
L'absorption d'un photon par un semi-conducteur peut engendrer la création d'une paire électron-trou. A l'inverse, l'électron dans la bande de conduction peut retourner dans la bande de valence en générant un photon dont l'énergie correpond à celle du gap. C'est la recombinaison radiative.
Un autre processus est également possible (recombinaison Auger) : un électron retombe dans la bande de valence, l'énergie correspondante étant cédée à un autre électron de conduction qui monte en énergie dans la bande.
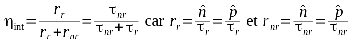
Définition : Le Rendement quantique interne
Le rendement quantique interne
représente le nombre de photons créés à la jonction sur le nombre de porteurs qui la traversent.
Si la jonction est longue, tout les porteurs se recombinent. De sorte que
représente le taux de recombinaisons radiatives sur le taux total de recombinaisons.
où
et
sont respectivement les durées de vie radiative et non-radiative.
Remarque :
Si
.
La durée de vie radiative étant plus faible dans les semi-conducteurs à gap direct, les DEL sont fabriquées dans de tels semi-conducteurs.
Définition : Le Rendement global
Le rendement global représente la puissance lumineuse émise sur la puissance éclectique consommée :
avec
et
respectivement le nombre de photons émis et le nombre de charges traversant la jonction par seconde
Complément : Le Rendement quantique externe
On a
où
représente le rendement quantique externe, soit le rapport entre le nombre de photons émis et le nombre de charges traversant la jonction.
Finalement,
où
représentant la résistance série de la diode.
Remarque :
car le nombre de photons émis par la diode < nombre de photons créés à la jonction. En effet, une fraction des photons créés est réabsorbée, souvent après réflexion à la surface du matériau.
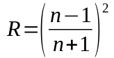
Fondamental :
Le coefficient de réflexion en incidence normale et dans l'air est donné par:
, avec
pour les semi-conducteurs usuel
Remarque :
Le rendement optique est donc très mauvais mais il peut être amélioré en recouvrant la DEL d'un matériau plastique d'indice supérieur à celui de l'air.
Définition : Le Rendement optique
Le rendement optique
représente le nombre de photons émis sur le nombre de photons générés à la jonction.
Il dépend de l'indice de réfraction du matériau :
![]()



