I.1 Principe de fonctionnement
Rappel :
Lorsqu'une jonction PN est polarisée en direct, les électrons majoritaires de la régions N sont injectés dans la région P où ils diffusent et inversement pour les trous. S'ils n'ont pas réussi à traversé la région P assez rapidement, ils se recombinent. Une DEL est une jonction PN dans laquelle les recombinaisons des porteurs excédentaires sont essentiellement radiatives.
Définition :
Une DEL est une jonction PN dans laquelle les recombinaisons des porteurs excédentaires sont essentiellement radiatives.
La tension de polarisation
fixe la séparation des niveaux de Fermi.
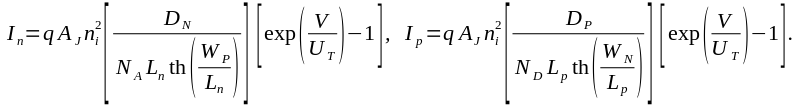
Les recombinaisons ont lieu dans la zce et dans les régions neutres N et P. Dans chacune de ces dernières, la zone émettrice est limitée à la longueur de diffusion des minoritaires. La zce joue un rôle mineur dans la mesure où elle est inexistante lorsque la jonction est polarisée en direct. On a :
Si les régions sont grandes devant les longueurs de diffusion, alors
donc :
Le rendement d'injection est donné par :
Fondamental :
À dopage équivalent, les électrons étant plus mobiles que les trous, le taux d'injection d'électrons dans la région P est plus important que le taux d'injection de trous dans la région N. Donc la région P est la plus radiative. C'est pour cela que la face émettrice d'une DEL est toujours de type P.
Il faut préciser aussi que pour des raisons d'efficacité d'émission, les régions N et P d'une DEL sont très dopées.




