logo-inp.gif
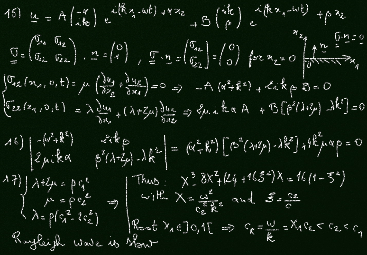
Blackboard and white chalk
retour
Book reading :  J. BILLINGHAM and A. C. KING, Wave Motion, Cambridge University Press (2000)

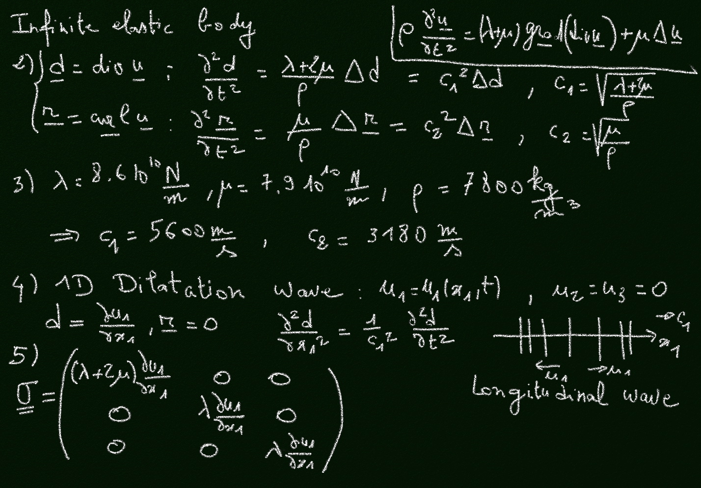
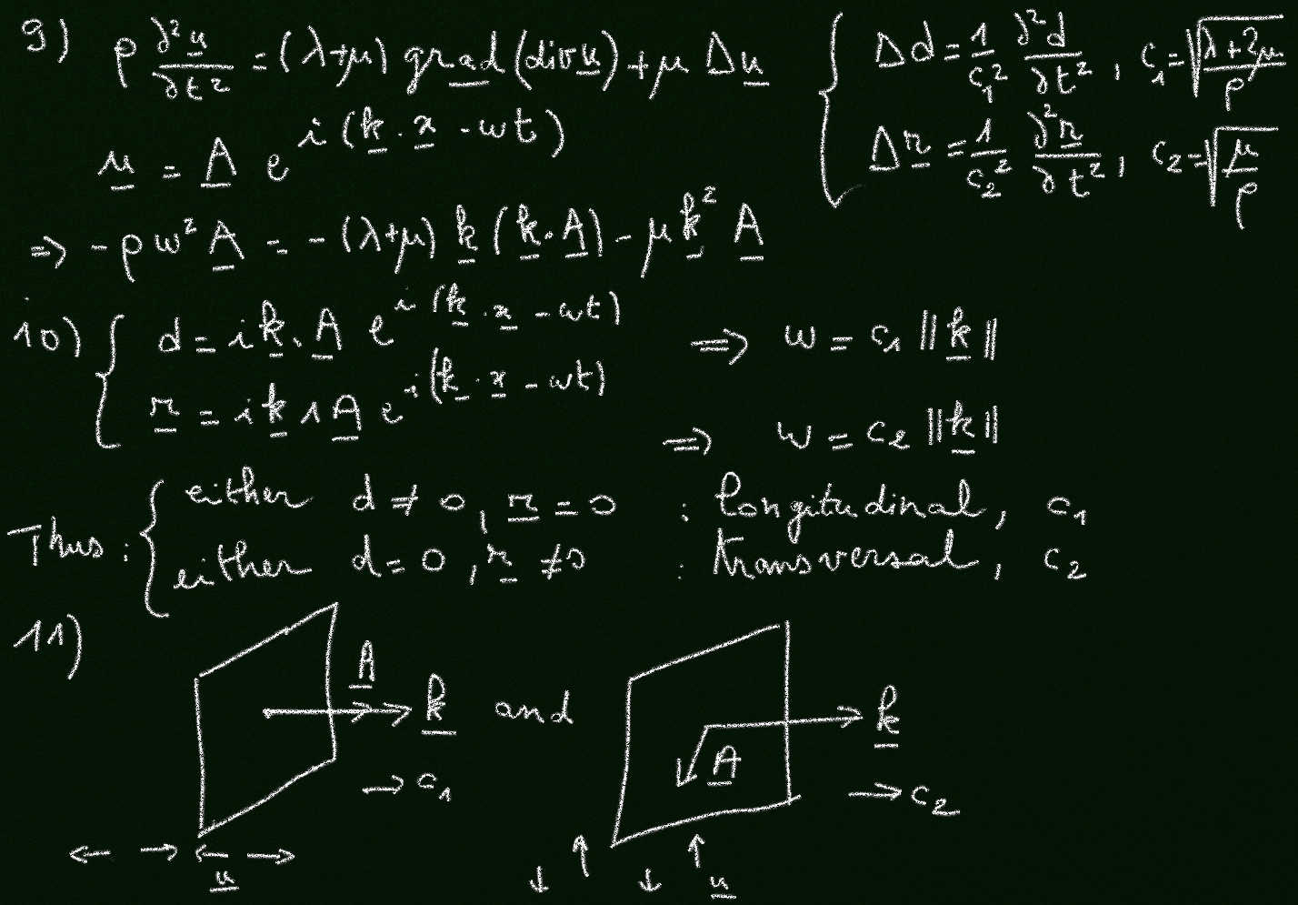
Chapter 5 :  Waves in Elastic Solids


  1.  

O. Thual, 04/10/2010