logo-inp.gif
Blackboard and white chalk
retour
Book reading :  J. BILLINGHAM and A. C. KING, Wave Motion, Cambridge University Press (2000)

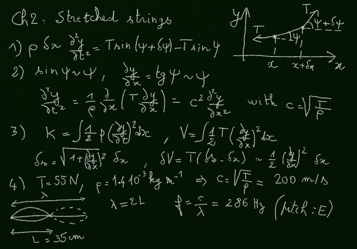
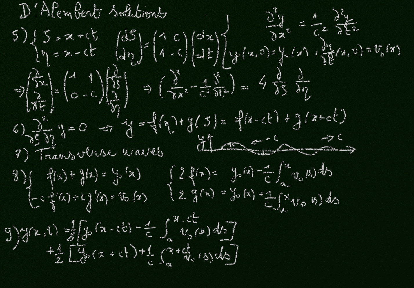
Chapter 2 : Waves on a Stretched String

  1. Sound track : =1=, =2=, =3=, =4=

O. Thual, 22/9/2010